咨询热线0924-78554168
一年新开200家店,营业收入169.69亿元,在一盘散沙的餐饮市场,海底捞取得的结果让一众同行难以望其项背。

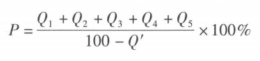
山东省装配式修建的评价尺度及要求山东省《装配式修建评价尺度》DB37/T 5127 - 2018关于装配式修建的评价尺度:l 、主体结构部门的评价分值不应低于 20 分其中梁、板、...

集会从主体责任落实、入口冷链食品管控、严格执行报备机制等3方面临“一条龙”服务队举行约谈。

浅析海外私人银行近几年的发展变化国报告网讯: 更加多行业市场情报,下文可参照《2013年中国行业调研分析报告》 纳亚洲、南美等新兴市场之福,全球性财务服务领域,出了资产管理中确保享有最低成果的部门。

10月大盘消息传递产业资本净持上升,从下半年最重要 股东的平安保险情况来看,7月至10月的月度平安保险额分别为103.08亿元、71.92亿元、149.30亿元和22.64亿元,合计346.94亿元。
